查看: 112|回复: 0

1014人死后被多领取养老保险,哈尔滨社保发公告责令退回,逾期将被强制执行

[复制链接]

10

主题

0

回帖

122

积分

初级会员

积分
122
发表于 2026-1-24 14:23:36 | 显示全部楼层 |阅读模式
极目新闻记者 王柳钦
1月23日,哈尔滨市社会保险事业中心官方公众号“哈尔滨社保”发布4条公告称,经核查,赵某芳等1014人存在死亡后多领取城乡居民养老保险待遇情形,中心发出的《退回社会保险待遇告知书》无法送达且无法联系或不配合返还,现依法公告送达《责令退回多享受社会保险待遇决定书》。自本公告发布之日起30日届满视为送达,超30日视为逾期。
d1.webp
公告内容显示,因赵某芳等1014人多领取城乡居民养老保险待遇,哈尔滨市社会保险事业中心批量送达《退回社会保险待遇告知书》后,当事人拒不退回、不履行协议、没有待遇可以抵扣,现公告送达《责令退回多享受社会保险待遇决定书》,根据《中华人民共和国社会保险法》《社会保险经办条例》等有关规定,责令家属自公告发布之日起30日内携带死亡证明并将一次性多享受的社会保险待遇存入个人农业银行账户,到户籍所在地街道/村镇的社保大厅办理退回业务。
d2.webp
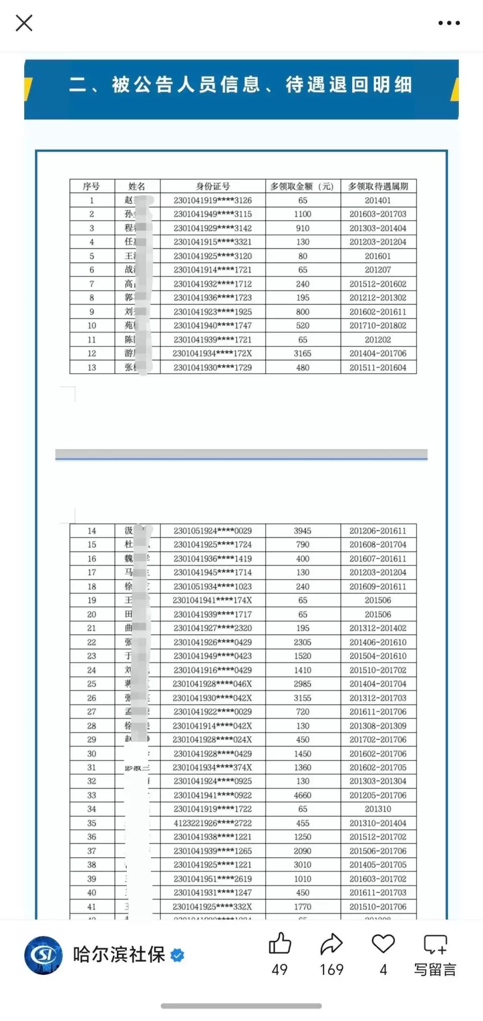
极目新闻记者注意到,公告中明确提到,在法定期限内不申请行政复议或提起行政诉讼,又不履行本决定的,哈尔滨市社会保险事业中心将依法申请人民法院强制执行。被公告人员信息、待遇退回明细也被全部展示在了公告之中。
极目新闻记者梳理发现,赵某芳等1014人中多领取金额从几十到数千元不等,最少为55元,最多为5974.47元。还有多人的多领取金额和多领取待遇属期为空白。公告署名单位为道外区社会保险经办服务中心,时间为2026年1月20日。
1月23日下午,极目新闻记者致电公告中的联系电话,一名工作人员表示,他们是哈尔滨道外区的业务部门,只负责解答保险相关事项,如果是公告中的家属想要办理退回多享受的社会保险待遇,他们可以联系属地社区进行协助,如若逾期未退,他们会将相关事项移交给上级部门处理。
哈尔滨市社会保险事业中心一名工作人员告诉极目新闻记者,1月23日他们确实发布了多条公告,要求家属退回多领取的城乡居民养老保险,数据来源于道外区社保中心核查中发现的异常,至于其他具体情况她不太清楚。
(来源:极目新闻)
免责声明:本文由网友发表或转载,不代表宜宾泡菜坛的观点和立场,不对其真实合法性负责.如有异议或侵权,请与本网站联系删除!
回复

使用道具 举报

您需要登录后才可以回帖 登录 | 立即注册

本版积分规则

QQ|手机版|小黑屋|宜宾泡菜坛 ( 蜀ICP备12031032号-6 )|网站地图川公网安备 51030002000201号

GMT+8, 2026-4-30 12:30 , Processed in 0.046938 second(s), 7 queries , Redis On.

Powered by Discuz! X3.5

© 2016-2021 Comsenz Inc.

快速回复 返回顶部 返回列表