查看: 65|回复: 0

[宜宾城事] 法院公告!宜宾银龙广场最新资产处置来了!

[复制链接]

119

主题

111

回帖

174

积分

初级会员

积分
174
发表于 2025-12-5 10:05:23 | 显示全部楼层 |阅读模式
四川省宜宾市翠屏区人民法院

公  告


本院因宜宾市银龙房地产开发有限公司、宜宾玉龙房地产开发有限公司所有的位于宜宾市翠屏区沿江路与滨江路交汇处银龙商业广场地面1-6层在建工程资产在变卖程序中无人竞买,于2020年4月9日,向各申请执行人发出了是否接受以物抵债的公告。截止2020年6月26日,上述以物抵债已经征询完毕。
现本院将同意接受以该次拍卖所定的保留价接受以物抵债的执行案号、申请执行人、被执行人、执行依据、借款本金、利息、违约金、商铺租金、案件受理费以及迟延债务利息等内容进行公示至2020年10月21日。如对上述内容有异议,请在公示期届满前以书面形式向宜宾市翠屏区人民法院提出,资料统一交到翠屏区人民法院执行事务中心。
注:1、在公示期届满后,本院将以最后确认核定的内容作为以物抵债受偿的比例和范围的依据;2、迟延履行期间的债务利息应当在其他执行内容清偿后再清偿。

特此公告
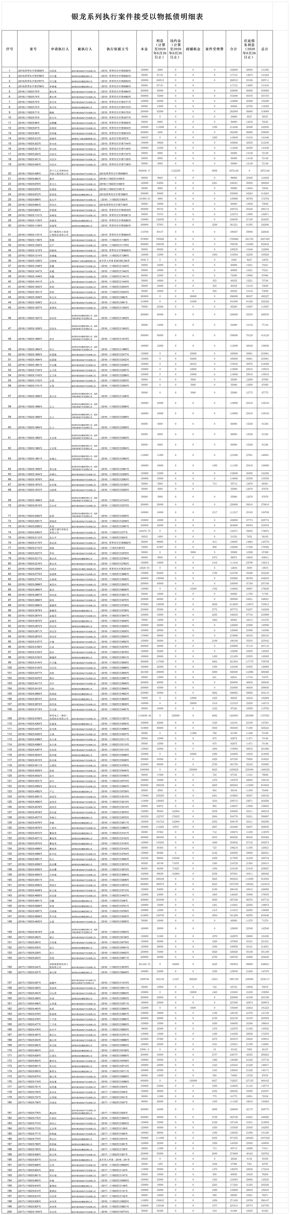
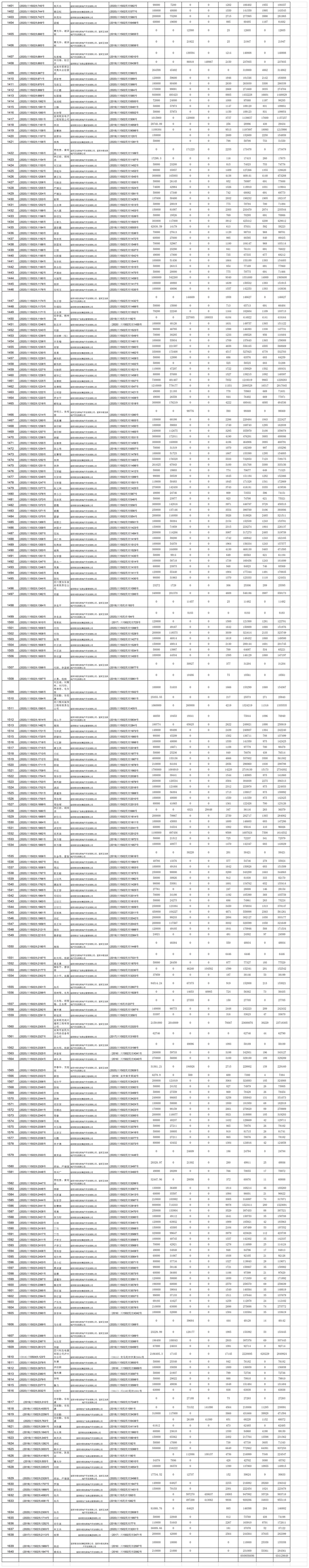
附件:《银龙系列执行案件接受以物抵债明细表》

二〇二〇年九月二十一日



联系人:执行事务中心 ,联系电话:2183885

d1.webp

附件:《银龙系列执行案件接受以物抵债明细表》请点击放大观看
d2.webp

d3.webp

d4.webp

d5.webp

d6.webp

d7.webp

d8.webp

d9.webp

来源:翠屏区法院
免责声明:本文由网友发表或转载,不代表宜宾泡菜坛的观点和立场,不对其真实合法性负责.如有异议或侵权,请与本网站联系删除!
回复

使用道具 举报

您需要登录后才可以回帖 登录 | 立即注册

本版积分规则

QQ|手机版|小黑屋|宜宾泡菜坛 ( 蜀ICP备12031032号-6 )|网站地图川公网安备 51030002000201号

GMT+8, 2026-3-17 04:04 , Processed in 0.035523 second(s), 5 queries , Redis On.

Powered by Discuz! X3.5

© 2016-2021 Comsenz Inc.

快速回复 返回顶部 返回列表